This is an archive of past FreeBSD releases; it's part of the FreeBSD Documentation Archive.
¡¡¡¡FreeBSD ²éÕÒÎļþµÄ×îСµ¥Î»ÊÇÎļþÃû¡£ ¶øÎļþÃûÇø·Ö´óСд£¬Õâ¾ÍÒâζ×Å readme.txt ºÍ README.TXT ÊÇÁ½¸ö²»ÏàͬµÄÎļþ¡£ FreeBSD ²»Æ¾ÎļþÀ©Õ¹Ãû (.txt) ȥʶ±ðÕâ¸öÎļþÊÇ ³ÌÐò¡¢ Îĵµ£¬ »òÊÇÆäËû¸ñʽµÄÊý¾Ý¡£
¡¡¡¡¸÷ÖÖÎļþ´æ·ÅÔÚĿ¼Àï¡£ Ò»¸öĿ¼¿ÉÒÔΪ¿Õ£¬ Ò²¿ÉÒÔº¬Óжà¸öµÄÎļþ¡£Ò»¸öĿ¼ͬÑù¿ÉÒÔ°üº¬ÆäËûµÄĿ¼£¬ ÔÊÐíÄúÔÚÒ»¸öĿ¼ÀィÁ¢¶à¸ö²»Í¬²ã´ÎµÄĿ¼¡£ Õ⽫°ïÖúÄúÇáËɵØ×éÖ¯ÄúµÄÊý¾Ý¡£
¡¡¡¡Îļþ»òĿ¼ÊÇÓÉÎļþÃû»òĿ¼Ãû£¬¼ÓÉÏбÏß·ûºÅ /£¬ ÔÙ¸ù¾ÝÐèÒªÔÚĿ¼ÃûºóÃæ¼ÓÉÏÆäËûĿ¼µÄÃû³Æ¡£ Èç¹ûÄúÓÐÒ»¸öÃûΪ foo µÄĿ¼£¬ Ëü°üº¬ÁíÒ»¸öĿ¼ bar£¬ ºóÕß°üÀ¨Ò»¸ö½Ð readme.txt µÄÎļþ£¬ ÔòÈ«Ãû£¬ »òÕß˵µ½ÎļþµÄ ·¾¶ ¾ÍÊÇ foo/bar/readme.txt¡£
¡¡¡¡ÔÚÎļþϵͳÀïĿ¼ºÍÎļþµÄ×÷ÓÃÊÇ´æ´¢Êý¾Ý¡£ ÿһ¸öÎļþϵͳ¶¼ÓÐÇÒÖ»ÓÐÒ»¸ö¶¥¼¶Ä¿Â¼ ¸ùĿ¼£¬ Õâ¸ö¸ùĿ¼Ôò¿ÉÒÔÈÝÄÉÆäËûĿ¼¡£
¡¡¡¡ÄúÒ²ÐíÔÚÆäËûµÄһЩ²Ù×÷ϵͳÅöµ½ÀàËÆÕâÀïµÄÇé¿ö£¬ µ±È»Ò²Óв»Í¬µÄÇé¿ö¡£ ¾ÙЩÀý×Ó£¬ MS-DOS® ÊÇÓà \ ·Ö¸ôÎļþÃû»òĿ¼Ãû£¬ ¶ø Mac OS® ÔòʹÓÃ:¡£
¡¡¡¡FreeBSDÔÚ·¾¶·½Ã治ʹÓÃÇý¶¯Æ÷Ãû·ûºÅ»òÇý¶¯Æ÷Ãû³Æ£¬ ÔÚFreeBSDÀïÄú²»ÄÜÕâÑùʹÓ㺠c:/foo/bar/readme.txt¡£
¡¡¡¡ÎªÁË´úÌæ(Çý¶¯Æ÷Ãû·ûºÅ)£¬ Ò»¸öÎļþϵͳ»áÖ¸¶¨ ¸ù Îļþϵͳ£¬ ¸ùÎļþϵͳµÄ¸ùĿ¼ÊÇ /¡£ ÆäËûÿһ¸öÎļþϵͳ ¹Ò½ÓÔÚ¸ùÎļþϵͳÏ¡£ ÎÞÂÛÓжàÉÙ´ÅÅÌÔÚFreeBSD ϵͳÀ ÿ¸ö´ÅÅ̶¼»áÒÔĿ¼µÄ·½Ê½¼ÓÉÏ¡£
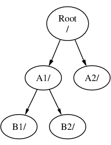
¡¡¡¡¼ÙÉèÄúÓÐÈý¸öÎļþϵͳ£¬ ÃûΪ A¡¢ B ºÍ C¡£ ÿ¸öÎļþϵͳÓÐÒ»¸ö¸ùĿ¼£¬ ¶ø¸÷×Ôº¬ÓÐÁ½¸öÆäËûµÄĿ¼£¬ ÃûΪ A1, A2 ( B1, B2 ºÍ C1, C2)¡£
¡¡¡¡¿´¿´ A Õâ¸ö¸ùÎļþϵͳ¡£ ¼ÙÈçÄúÓà ls ÃüÁîÀ´²é¿´Õâ¸öĿ¼Äú»á¼ûµ½Á½¸ö×ÓĿ¼: A1 ºÍ A2¡£ Õâ¸öĿ¼Ê÷ÊÇÕâ¸öÑù×Ó:

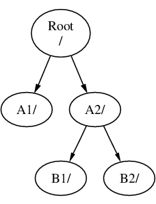
¡¡¡¡Ò»¸öÎļþϵͳ±ØÐë¹Òµ½ÁíÒ»¸öÎļþϵͳµÄijһĿ¼£¬ ËùÒÔÏÖÔÚ¼ÙÉè°Ñ B Îļþϵͳ¹Òµ½ A1Ŀ¼£¬ ÄÇ B ¸ùĿ¼Òò´Ë´úÌæ ÁË A1£¬¶øÏÔʾ³ö B Ŀ¼(µÄÄÚÈÝ)£º

¡¡¡¡ÎÞÂÛB1 »ò B2 Ŀ¼ÔÚÄÇÀï¶øÑÓÉì³öÀ´µÄ·¾¶±ØÐëΪ /A1/B1 »ò /A1/B2¡£ ¶øÔÚ /A1 ÀïÔÓеÄÎļþ»áÁÙʱÒþ²Ø¡£ ÏëÕâЩÎļþÔÙ³öÏÖ°Ñ B ´Ó A ¹Ò½ÓÊÍ·Å¡£
¡¡¡¡ËùÓÐÔÚB1 »ò B2 Ŀ¼ÀïµÄÎļþ¶¼¿ÉÒÔͨ¹ý /A1/B1 »ò /A1/B2 ·ÃÎÊ¡£¶øÔÚ /A1 ÖÐÔÓеÄÎļþ»á±»ÁÙʱÒþ²Ø£¬Ö±µ½ B ´Ó A Éϱ»Ð¶ÔØ (unmout) Ϊֹ¡£
¡¡¡¡°Ñ B ¹Ò½ÓÔÚ A2 ÄÇͼ±íµÄÑù×Ó¾ÍÊÇÕâÑù×Ó:

¡¡¡¡Õâ¸ö·¾¶·Ö±ðÊÇ /A2/B1 ºÍ /A2/B2 ¡£
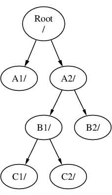
¡¡¡¡ÎļþϵͳÄܰѶ¥²¿¹Ò½ÓÔÚÁíÒ»¸öÎļþϵͳÉÏ¡£ ¼ÌÐøÕâ¸öÀý×Ó£¬ °Ñ C Îļþϵͳ¹Ò½ÓÔÚ B ÎļþϵͳÀïµÄ B1 Ŀ¼£¬ ÅÅÁÐÈçÏÂ:

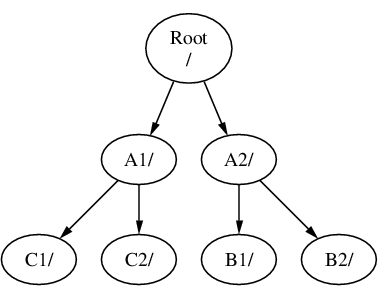
¡¡¡¡»òÕß°Ñ C Îļþϵͳ¹Ò½ÓÔÚ A ÎļþϵͳÀïµÄA1Ŀ¼£º

¡¡¡¡¼ÙÈçÄúÊìϤ MS-DOS ²¢ÖªµÀ join ÃüÁ ¾¡¹Ü²»Ïàͬ£¬Æäʵ¹¦ÄÜÊÇÏàËÆµÄ¡£
¡¡¡¡Õâ·½Ãæ²»ÊÇÆÕ֪ͨʶ¶øÇÒÉæ¼°µ½Äú×Ô¼ºËù¹ØÐĵģ¬ µ±Äú°²×°FreeBSD²¢ÔÚÒÔºóÌí¼ÓдÅÅÌʱ£¬ Äú±ØÐëÖªµ½¸ÃÈçºÎн¨ÎļþϵͳºÍ¹Ò½ÓÉÏ¡£
¡¡¡¡(FreeBSDϵͳ)ËüÓÐÒ»¸öÖ÷ÒªµÄ¸ùÎļþϵͳ£¬ ²»ÐèÒªÁíÍâн¨Á¢£¬ µ«µ±ÐèÒªÊÖ¹¤´¦Àíʱ£¬ÕâÊÇÒ»¸öÓÐÓõÄ֪ʶ¡£
¶à¸öÎļþϵͳµÄÒæ´¦
²»Í¬µÄÎļþϵͳ¿ÉÓò»Í¬µÄ ¹Ò½Ó²ÎÊý¡£ ¾ÙЩÀý×Ó£¬ ×ÐϸÏëһϣ¬ ¸ùÎļþϵͳÄÜÓÃÖ»¶ÁµÄ·½Ê½¹Ò½ÓÉÏ£¬ ·ÀÖ¹²»¾Òâɾ³ý»ò±à¼µ½Ò»¸öΣÏÕµÄÎļþ¡£ °Ñ¸÷Óû§ÄÜдÈëµÄÎļþϵͳ·Ö¿ª£¬ Ïñ/homeÕâÑù£¬ ÓÉÁíÍâµÄÎļþϵͳ·Ö±ðÓà nosuid ²ÎÊý¹Ò½Ó£¬Õâ¸ö²ÎÊý·ÀÖ¹ suid/guid ÔÚÖ´ÐÐÕâ¸öÎļþϵͳÖеÄÎļþʱÉúЧ£¬ ´Ó¶ø»º½âÁËһЩ°²È«ÎÊÌâ¡£
FreeBSD Äܸù¾ÝÒ»¸öÎļþϵͳʹÓõÄÇé¿ö×Ô¶¯ÓÅ»¯ Õâ¸öÎļþϵͳÉϵÄÎļþ²¼¾Ö¡£ ËùÒÔ¶ÔÒ»¸ö´æ´¢ÁË´óÁ¿Ð¡Îļþ²¢»á±»Æµ·±Ð´ÈëÎļþϵͳµÄÓÅ»¯ÓëÒ»¸ö´æ´¢ÁËÉÙÁ¿´óÎļþµÄÓÅ»¯ÊDz»Í¬µÄ¡£ ¶øÔÚÒ»¸ö´óµÄµ¥Ò»ÎļþϵͳÉÏÔòÎÞ·¨ÌåÏÖÕâÑùµÄÓÅ»¯¡£
FreeBSD µÄÎļþϵͳÄܹ»Ôڶϵçʱ¾¡¿ÉÄܱÜÃâËðʧ¡£ È»¶ø£¬ ÔڹؼüµãʱµÄµçԴʧЧÈÔÈ»¿ÉÄÜ»áÆÆ»µÎļþϵͳµÄ½á¹¹¡£ ½«ÄúµÄÎļþϵͳ·Ö³É¶à¸öÓÐÖúÓÚ·ÖÉ¢·çÏÕ£¬ ²¢·½±ã±¸·ÝºÍ»Ö¸´¡£
µ¥Ò»ÎļþϵͳµÄÒæ´¦
ÎļþϵͳÊǹ̶¨´óСµÄ¡£ µ±°²×°FreeBSDʱн¨Ò»¸öÎļþϵͳ²¢É趨һ¸ö´óС£¬ Äú»áÔÚÉÔºó·¢¾õµ½±ØÐëÈ¥½¨Ò»¸ö´óµÄ·ÖÇø¡£ Èç¹ûÅäÖò»µ±£¬ ÔòÐèÒª±¸·Ý¡¢ ÖØÐ´´½¨Îļþϵͳ£¬ È»ºóÔÙ»Ö¸´Êý¾Ý¡£
ÖØÒª: FreeBSD ÌṩÁË growfs(8) ÃüÁî¡£ ÕâʹµÃÄܹ»ÊµÊ±µØµ÷ÕûÎļþϵͳµÄ´óС£¬ Òò¶ø²»ÔÙÊÜÆäÏÞÖÆ¡£
¡¡¡¡ÎļþϵͳÊǺͷÖÇøÒ»Ò»¶ÔÓ¦µÄ¡£ ÕâÀïµÄ·ÖÇøºÍ³£ÓõÄÊõÓï·ÖÇø (ÀýÈ磬 MS-DOS ·ÖÇø) µÄÒâ˼²¢²»Ò»Ñù£¬ ÕâÊÇÓÉÓÚ FreeBSD µÄ UNIX® ´«Í³Ôì³ÉµÄ¡£ ÿһ¸ö·ÖÇøÊ¹ÓÃÒ»¸ö´Ó a µ½ h µÄ×ÖĸÀ´±íʾ¡£ ÿ¸ö·ÖÇøÖ»Äܰüº¬Ò»¸öÎļþϵͳ£¬ ÕâÒâζ×ÅÎļþϵͳͨ³£¿ÉÒÔÓÉËüÃÇÔÚÎļþϵͳĿ¼½á¹¹ÖеĹҽӵ㣬 »ò¶ÔÓ¦µÄ·ÖÇø×ÖĸÀ´±íʾ¡£
¡¡¡¡FreeBSD µÄ ½»»»·ÖÇø Ò²ÐèҪʹÓôÅÅ̿ռ䡣 ½»»»·ÖÇøÊǸø FreeBSD ×÷ ÐéÄâÄÚ´æ ʹÓõģ¬ ÕâÑùÄÜÁîÄúµÄ¼ÆËã»úÓиü¶àµÄÄÚ´æ¿ÉʹÓ㬠µ±FreeBSDÔÚÔËÐжøÄÚ´æ²»¹»µÄʱºò£¬ Ëü»á°ÑÆäËûһЩ¿É×ªÒÆµÄÊý¾Ý×ªÒÆµ½½»»»·ÖÇø£¬ ¿Õ³öÄÚ´æµÄλÖÃÒÔ¹©Ê¹Óá£
¡¡¡¡Ä³Ð© partitions µÄÓÃ;ÊÇÈ·¶¨µÄ¡£
| ·ÖÇø | Ô¼¶¨ |
|---|---|
| a | ͨ³£Ö¸¶¨Îª¸ùÎļþϵͳ |
| b | ͨ³£Ö¸¶¨Îª½»»»·ÖÇø |
| c | ͨ³£ËüºÍËùÔÚµÄ slice ´óСÏàͬ¡£ c ·ÖÇøÉϹ¤×÷ʱ±Ø¶¨»áÓ°Ïìµ½ÊÂÕû¸ö slice (¾Ù¸öÀý×Ó£¬»µ¿éɨÃèÆ÷)¡£ Äúͨ³£²»Ô¸ÒâÔÚÕâ¸öpartition½¨Á¢Îļþϵͳ¡£ |
| d | ·ÖÇø d Ôø¾ÓÐÌØÊâµÄº¬Ò壬 ²»¹ýÕâÖÖÒâÒåÔÚÏÖʱµÄϵͳÉÏÒѲ»ÔÙÊÊÓ㬠Òò´Ë d ¿ÉÒÔºÍÈÎºÎÆäËüÆÕͨµÄ·ÖÇøÒ»ÑùʹÓÃÁË¡£ |
¡¡¡¡Ã¿Ò»¸ö°üº¬ÁËÎļþϵͳµÄ·ÖÇø±»±£´æÔÚ FreeBSD ³ÆÎª slice µÄ²¿·ÖÉÏ¡£ Slice ÊÇÒ»¸ö FreeBSD ÊõÓ ͨ³£±»½Ð×ö·ÖÇø£¬ ÔÙ´ÎÇ¿µ÷£¬ ÕâÊÇÓÉÓÚ FreeBSD µÄ UNIX ±³¾°¡£ Slices ÓÐÆä±àºÅ£¬ ´Ó1µ½4¡£
¡¡¡¡Slice ±àºÅÔÚÉ豸ÃûºóÃæ£¬ ²¢ÓÐÒ»¸ö s ǰ׺£¬ ´Ó 1 ¿ªÊ¼¡£ Òò´Ë ¡°da0s1¡± ÊǵÚÒ»¸ö SCSI Çý¶¯Æ÷µÄµÚÒ»¸ö slice¡£ ÿ¸ö´ÅÅÌÉÏÖ»ÄÜÓÐËĸöÎïÀíµÄ slices£¬ µ«Äú¿ÉÒÔÔÚÎïÀí slice ÖÐʹÓÃÊʵ±µÄÀàÐÍÀ´´´½¨Âß¼ slice¡£ ÕâЩÀ©Õ¹ slice ±àºÅ´Ó 5 ¿ªÊ¼£¬ Òò´Ë ¡°ad0s5¡± ÊǵÚÒ»¸ö IDE ´ÅÅÌÖеĵÚÒ»¸ö À©Õ¹ slice¡£ ÎļþϵͳËùʹÓõÄÉ豸Ӧ¸ÃÕ¼Âú slice¡£
¡¡¡¡Slices, ¡°×¨ÓÃÖ¸¶¨¡± ÎïÀíÇý¶¯Æ÷£¬ ºÍÆäËûÇý¶¯Æ÷¶¼°üº¬ partitions£¬ ÄǼ¸¸öµÄ partitions ¶¼ÊÇÓÃ×Öĸ´Ó a µ½ h À´±ê¶¨µÄ£¬ ¶øÕâЩ×Öĸ¶¼ÔÚÇý¶¯Æ÷Ãû×ÖÖ®ºó£¬ËùÒÔ ¡°da0a¡± ÊÇÖ¸Ê׸ödaÉ豸µÄ a partition£¬ ¶øÄǸö¾ÍÊÇ ¡°×¨ÏîÖ¸¶¨¡±¡£ ¡°ad1s3e¡± ÊÇÖ¸IDE´ÅÅÌÉϵÚÈý¸ösliceµÄµÚÎå¸öpartition¡£
¡¡¡¡×îÖÕ£¬Ã¿¸ö´ÅÅ̶¼±»ÏµÍ³Ê¶±ð¡£ Ò»¸ö´ÅÅÌÃû×ÖÊÇÓôÅÅÌÀàÐÍ´úÂëºÍ±àºÅÀ´±êʶµÄ£¬ Ëü²»Ïñslices£¬´ÅÅ̵ıàºÅÊÇÓÉ0¿ªÊ¼µÄ¡£ ¶ÔÓ¦´úÂëÇë¿´ÕâÀïËùÁгöµÄ±í 3-1¡£
¡¡¡¡µ±ÔÚ FreeBSD ÖÐÖ¸¶¨ partition Ãû×Öʱ£¬ ±ØÐëͬʱ°üº¬Õâ¸ö·ÖÇøµÄ slice ºÍ´ÅÅ̵ÄÃû×Ö£» ÀàËÆµØ£¬ ÔÚÖ¸¶¨ slice ʱ£¬ Ò²Ó¦¸Ã¸ø³ö°üº¬¸Ã slice µÄ´ÅÅÌÃû×Ö¡£ ¿ÉÕâÑùÁгö£º ´ÅÅÌÃû³Æ£¬s£¬slice ±àºÅ£¬ºÍpartition±ê¶¨×Öĸ¡£ Àý×ÓÇë¿´ Àý 3-1¡£
¡¡¡¡Àý 3-2 ÕâÀïÏÔʾÁËÒ»¸ö´ÅÅ̵IJ¼¾Ö£¬ÓиüÇå³þµÄ°ïÖú¡£
¡¡¡¡ÔÚ°²×°FreeBSDʱ£¬ÄúÊ×ÏÈÒªÅäÖúôÅÅÌslices£¬ È»ºóÔÚFreeBSDʹÓõÄsliceÉϽ¨Á¢partitions¡£ ²¢ÔÚÿ¸öpartitionÉϽ¨Á¢Ò»¸öÎļþϵͳ(»ò½»»»·ÖÇø)£¬ ºÍÖ¸¶¨ÎļþϵͳµÄ¹Ò½ÓλÖá£
±í 3-1. ´ÅÅÌÉ豸µÄ´úÂë
| ´úÂë | ˵Ã÷ |
|---|---|
| ad | ATAPI (IDE) ´ÅÅÌ |
| da | SCSI Ö±½Ó´æÈ¡´ÅÅÌ |
| acd | ATAPI (IDE) ¹âÇý |
| cd | SCSI ¹âÇý |
| fd | ÈíÇý |
Àý 3-2. Ò»¸ö´ÅÅ̵IJ¼¾Ö
´ÓÔÚϵͳÀïµÄÊ׸öIDE´ÅÅÌͼ±í¿ÉÒÔÏÔʾ³öFreeBSDµÄ¼û½â¡£ ¼ÙÉè´ÅÅÌ´óСΪ4 GB£¬ËüÀïÃæ°üº¬ÁËÁ½¸ö2 GB ´óСµÄslices (µ«ÔÚMS-DOS½Ðpartitions)¡£ Ê׸ösliceÊÇÒ»¸öMS-DOS´ÅÅ̽ÐC:£¬ ¶øµÚ¶þ¸ösliceÊÇFreeBSDÅäÖúõÄslice¡£ FreeBSDÅäÖúõÄsliceÓÐÈý¸öpartitionsºÍÁíÒ»¸ö½»»»·ÖÇø¡£
ÕâÈý¸öpartitions¸÷×Ô¿ØÖÆÒ»¸öÎļþϵͳ¡£ partitiona ÓÃÓÚ¸ùÎļþϵͳ£¬ partitione ÓÃÓÚ /var Ŀ¼²ã£¬ partitionf ÓÃÓÚ /usr Ŀ¼²ã¡£

±¾ÎĵµºÍÆäËüÎĵµ¿É´ÓÕâÀïÏÂÔØ£ºftp://ftp.FreeBSD.org/pub/FreeBSD/doc/.
Èç¹û¶ÔÓÚFreeBSDÓÐÎÊÌ⣬ÇëÏÈÔĶÁÎĵµ£¬Èç²»Äܽâ¾öÔÙÁªÏµ<questions@FreeBSD.org>.
¹ØÓÚ±¾ÎĵµµÄÎÊÌâÇë·¢ÐÅÁªÏµ <doc@FreeBSD.org>.